Last updated: 1 Jun 2023 | 2922 Views |
Unit Conversionก
1. Technical unit names

2. Pressure Conversion Table

3. Air volume unit conversion

4. Power ratio unit conversion

5. Power and energy conversion

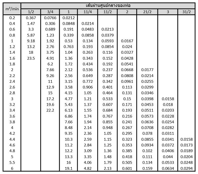
6. Water volume conversion

7. Volume conversion

8. Temperature Conversion

9. Speed Conversion

10. Air condition and boiler unit

11. Aperture and delivery comparison table
On the basis of a 100% flow coefficient,suppose that the inlet is extremely round,then multiply the value by 0.97; if the aperture has knife edge,multiply them by 0.65.
We can obtain only approximate results here. Fore accurate measurement,refer to measurement of flow volume of flow volume speed in ASME Power Experiment Specifications.
The standard thermal insulation formula is used in computation of pressure values between 1 and 15 psig.
For the computation of pressure values over 15 psig,the following approximate formula is used : w=0.5303 acp./(√T),in which w=delivered pounds/sec,a=aperture area(in²),c=flow coefficient,p=upstream gross pressure(psia),T=upstream temperature(°F absolute).
In the above cases of computation,c=1.0,p=gauge pressure +14.7 psia,T=530°F absolute.
When weight is subtituted by volume,the density factor of 0.0749 lb / ft³ is used instead,which is for 14.7 psia.So the 70°F is dry air correction.
The formula is not applicabie for pless than twice the atmospheric pressure.
12. Air piping pressure drop ratio table


13. Air pipe pressure loss when compared each type of pipe to straight pipe

21 Mar 2023
23 Nov 2022
19 Jul 2022